در مدار جرقه زنی دلکو (با توجه به شكل 1)هنگامي كه سوئيچ اصلي روشن مي گردد، در صورت بسته بودن پلاتين، جريان برق پس از عبور از سوئيچ، وارد سيم پيچ اوليه كويل شده و از طريق پلاتين متحرك به پلاتين ثابت رفته و از آنجا وارد بدنه مي شود. عبور جريان از سيم پيچ اوليه كويل، باعث مي شود كه سيم پيچ اوليه كويل مغناطيس شده و خطوط قواي مغناطيسي به آرامي توليد گردند. با چرخيدن ميل لنگ توسط استارت، ميل بادامك و در نتيجه ميل دلكو به همراه آن مي چرخد. به محض اينكه يكي از بادامكهای ميل دلكو به فيبر پلاتين مي رسد، پلاتين متحرك را از پلاتين ثابت جدا مي كند و در اين هنگام عبور جريان از سيم پيچ اوليه كويل قطع ميگردد. در لحظه قطع پلاتين، تعدادي از الكترونها روي مرز جدايش پلاتين ثابت و متحرك قرار دارند، به طوري كه يا بايد به سمت پلاتين ثابت پرش كنند و يا اينكه به سمت پلاتين متحرك بپرند و بايد دقت داشت كه در هر دو صورت، پرش الكترونها مساوی با توليد جرقه و در نتيجه ذوب نمودن پلاتين ها مي باشد. از اينرو خازني را موازي با پلاتين قرار مي دهند كه در حقيقت اين خازن مانند پمپ مكشي، الكترونهايي را كه قصد پرش دارند را به طرف خود كشيده و سپس به مدار باز مي گرداند. حركت الكترون ها به سمت خازن، باعث شارژ شدن خازن مي شود. سپس اين الكترونها دوباره از خازن برگشته و به نقطه A در شكل (1) مي رسند.خریدوفروش کلرور پالادیوم

A : محل اتصال سيم ورودي به مدار جرقه زنی دلکو با سيم خازن و پلاتين منفي، B: محل اتصال سيم پيچ ثانويه به سيم پيچ اوليه
۱- باتري ۲- سوئيچ اصلي ۳- كويل ۴- ترمينال ورودي كويل ۵- ترمينال خروجي كويل ۶- ترمينال مركزي كويل ۷- سيم پيچ اوليه كويل ۸- سيم پيچ ثانويه كويل ۹- هستة كويل ۱۰- پلاتين ۱۱- خازن ۱۲- ميل دلكو ۱۳- بدنه دلكو ۱۴- چرخ دنده سر ميل د لكو ۱۵- واير مركزي دلكو (فشار قوي) ۱۶- زغال و فنر در دلكو ۱۷- در دلكو ۱۸- چكش برق ۱۹- واير شمع ۲۰- شمع خریدوفروش کلرور پالادیوم
شكل ۱- نحوه عملكرد مدار جرقه زنی دلکو
در نقطه A دو راه براي عبور الكترونها وجود دارد. راه اول به سمت پلاتينها مي باشد كه به دليل باز بودن پلاتينها و وجود مقاومت زياد، پس از اين مسير عبور نمي كنند. راه دوم حركت الكترونها به سمت كويل است که در اين حالت الكترونها به سمت كويل حركت كرده تا به نقطة B برسند. در نقطة B يا الكترونها بايد به سمت سيم پيچ اوليه حركت كنند و يا اينكه به سمت سيم پيچ ثانويه بروند. ولي به دليل اينكه تعداد حلقه های سيم پيچ ثانويه خيلي زياد و قطر سيم آن كم مي باشد بنابراين مقاومت آن زياد است، پس الكترونها به سمت سيم پيچ اوليه حركت مي كنند.خریدوفروش کلرور پالادیوم
در اين حالت جهت اين جريان با جهت جريان اصلي كه از باتری مي آيد معكوس مي باشد و اين جريان تمايل دارد كه سيم پيچ اوليه را در جهت عكس حالت قبل مغناطيس كند و اين عامل باعث مي شود كه خطوط قواي مغناطيسي سيم پيچ اوليه اي كه به علت عبور جريان باتری توليد شده اند و اكنون به دليل باز شدن پلاتين و قطع جريان در حال از بين رفتن هستند، خيلي سريع از بين بروند، يا به عبارتي ديگر اين خطوط قوا، خيلي سريع به سيم پيچ اوليه باز گردند. اين حركت سريع خطوط قواي مغناطيسي باعث مي شود كه خطوط قوای مغناطيسي به حلقه های سيم پيچ ثانويه برخورد كرده و “جريان القايي” را در سيم پيچ ثانويه بوجود آورد.خریدوفروش کلرور پالادیوم
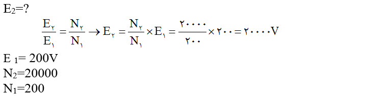
از طرفي با برخورد اين خطوط قوای مغناطيسي با حلقه های سيم پيچ اوليه باعث مي شود كه “جريان خودالقايي” در سيم پيچ اوليه بوجود آيد و اين جريان خودالقايي طبق قانون لنز درجهت عكس جريان اصلي مي باشد. با توجه به اينكه ولتاژ جريان خودالقايي در حدود ۱۰۰ تا ۲۵۰ ولت و تعداد حلقه های سيم پيچ اوليه در حدود ۲۵۰ تا ۳۵۰ حلقه و تعداد حلقه هاي سيمپيچ ثانويه نيز در حدود ۱۵۰۰۰ تا ۳۰۰۰۰ حلقه مي باشد، مي توان از رابطه (۳-۱) ولتاژ القاء شده در سيم پيچ ثانويه را بدست آورد.خریدوفروش کلرور پالادیوم

E2 : ولتاژ القاء شده در سيم پيچ ثانويه بر حسب ولت (V)
E1 : ولتاژ خودالقايي سيم پيچ اوليه برحسب ولت (V)
N2 : تعداد حلقه هاي سيم پيچ ثانويه
N1 : تعداد حلقه هاي سيم پيچ اوليه
مثال: اگر ولتاژ خودالقايي سيم پيچ اوليه ۲۰۰ ولت و تعداد حلقه هاي آن ۲۰۰ حلقه و تعداد حلقه هاي سيم پيچ ثانويه نيز ۲۰۰۰۰ حلقه باشد، ولتاژ جريان القايي در سيم پيچ ثانويه را بدست آوريد.خریدوفروش کلرور پالادیوم

پس ولتاژ ۲۰۰۰۰ ولت در سيم پيچ ثانويه كويل توليد مي شود كه به شمع ها فرستاده مي شودخریدوفروش کلرور پالادیوم
البته بايد توجه داشت، الكترون هايي كه از خازن به سمت سيم پيچ اوليه حركت كردند، هنگامي كه ولتاژ خودالقايي توليد شد، ابتدا الكترون ها در جهت عكس جريان اصلي حركت مي كنند و سپس در جهت جريان اصلي تغيير مسير ميدهند تا دوباره به خازن ميرسند چون در اين هنگام هنوز پلاتينها باز هستند. پس از برخورد الكترونها به صفحات خازن، دوباره الكترونها به سمت سيم پيچ اوليه باز مي گردند و اين رفت و برگشت الكترونها بين سيم پيچ اوليه و خازن در مدار جرقه زنی دلکو تا هنگامي كه جريان توليد شده در سيم پيچ مستهلك شود، ادامه دارد و همين رفت و برگشت الكترونها يا جريان برق بين خازن و سيم پيچ اوليه باعث مي شود كه جريان توليد شده در سيم پيچ ثانويه ادامه داشته باشد.
مطالب فوق در شكل (۲) نشان داده شده است.خریدوفروش کلرور پالادیوم

شكل ۲- نحوة عملكرد مدار جرقه زنی دلکو در هنگام باز و بسته شدن پلاتين
قسمت بالايي شكل (۲) نحوه و مقدار جريان عبوري از سيم پيچ اوليه در هنگام باز و بسته بودن پلاتين، را نشان مي دهد، با توجه به اين شكل هنگامي كه پلاتين بسته مي شود، جريان عبوري از سيم پيچ اوليه به طور تدريجي افزايش مي يابد تا به مقدار ماكزيمم خود برسد، كه اين مدت زمان برابر با مدت زمان داول يا بسته بودن پلاتين است. هنگامي كه پلاتين باز مي شود، به خاطر نوسانات جريان و ولتاژ، جريان عبوري از سيمپيچ اوليه نيز به صورت متناوب مستهلك شونده مي باشد.
قسمت مياني شكل (۲) ولتاژ مدار اوليه را نشان مي دهد، مطابق اين شكل در هنگام بسته بودن پلاتين، ولتاژ يا اختلاف پتانسيل سيم پيچ اوليه تقريباً صفر است، هنگامي كه پلاتين باز مي شود، ولتاژ خودالقايي سيم پيچ اوليه در لحظة باز شدن پلاتين به حدود ۲۰۰ ولت رسيده، سپس نسبت به ولتاژ باتري به صورت متناوب مستهلك شونده، نوسان مي كند، تا نهايتاً، اختلاف پتانسيل يا ولتاژ سيم پيچ ثانويه برابر با ولتاژ باتری شود.
قسمت پائين شكل (۲) ولتاژ مدار ثانويه را نشان مي دهد. در هنگام بسته بودن پلاتين، ولتاژ مدار ثانويه به صورت ناگهاني منفي شده و به تدريج صفر مي شود، در هنگام باز شدن پلاتين، ابتدا ولتاژ اصلي جرقه در حدود ۱۵ كيلوولت ايجاد مي شود، كه اين ولتاژ باعث يونيزه شدن فاصله هوايي بين الكترودهاي شمع مي شود، بعد از يونيزه شدن اين فاصله، مقاومت بين الكترود مركزی و الكترود بدنه كاهش يافته و جرقه با ولتاژ كمتري در حدود ۲ كيلو ولت ادامه پيدا مي كند كه اين قسمت، جرقه اصلي شمع مي باشد، پس از آن به خاطر القاء و خودالقايي سيم پيچ اوليه و ثانويه، ولتاژ متناوب مستهلك شوندهاي در سيم پيچ ثانويه توليد مي گردد تا نهايتاً به صفر برسد.خریدوفروش کلرور پالادیوم
لازم به ذكر است كه در شكل فوق بحثي در مورد جريان عبوري از سيم پيچ ثانويه صورت نگرفته است، چونكه مدار ثانويه براساس ولتاژ عمل ميكند و نه جريان. به عبارتي ديگر در مدار ثانويه بايد حتيالامكان جريان عبوري را كاهش داد تا از ذوب شدن الكترودهاي شمع و همچنين توليد ميدان هاي مغناطيسي اطراف واير شمع ها و نهايتاً ايجاد تداخل و پارازيت جلوگيري كرد، در اينصورت مقاومت هاي سيم پيچ ثانويه، واير مركزي كويل به در دلكو، زغال در دلكو، فاصلة هوايي بين چكش برق و ترمينالهاي در دلكو، واير شمع هر كدام از شمع ها، مقاومت داخلي (پارازيت گير) شمع و فاصله هوايي بين الكترود مركزی و بدنه شمع در مدار ثانويه وجود دارد، در اين حالت به دليل مقاومت زياد در مدار، جريان عبوری از مدار بسيار كم مي باشد.خریدوفروش کلرور پالادیوم
شكل (۳) ولتاژ مدار اوليه را به صورت واضح تر نشان ميدهد.

شكل ۳- ولتاژ عبوري از سيم پيچ اوليه در زمان باز و بسته بودن پلاتين در مدار جرقه زنی دلکو
شكل (۴) ولتاژ مدار ثانويه در زمان باز و بسته بودن پلاتين را به طور مطلوب تری نمايش مي دهد.

شكل ۴- ولتاژ مدار ثانويه در زمان باز و بسته بودن پلاتين
جريان برق فشار قوی توليد شده از طريق ترمينال مركزي كويل به ترمينال مركزي در دلكو و از آنجا بين شمع ها تقسيم مي شود و از طريق واير شمع ها به ترمينال اصلي شمع، سپس به مقاومت داخلي و بعد از آن به الكترود مركزی شمع و در نهايت بين الكترود مركزی و الكترود بدنه شمع، توليد جرقه مي كند.خریدوفروش کلرور پالادیوم

K : ماكزيمم جرقه S : ادامه جرقه tF : مدت جرقه
شكل ۵- ولتاژ جرقهايجاد شده در دهانه شمع
همان گونه كه از شكل (۵) پيداست، تمامي مراحلي كه در بالا ذكر شد در حدود ۰۰۳/۰ ثانيه انجام مي شود.
نكته: خازن هم در زياد كردن مقدار ولتاژ جرقه و هم در طولاني تر كردن مدت زمان جرقه زنی تأثير دارد. به طوري كه اگر خازن از مدار جرقه زنی دلکو جدا شود، جرقه توليد شده بسيار ضعيف بوده و معمولاً توانايي روشن كردن موتور را ندارد و اگر موتور روشن شود، پلاتين ها به سرعت ذوب شده و از بين مي روند.خریدوفروش کلرور پالادیوم
هر سيم پيچ برای اينكه قدرت مغناطيسي آن به مقدار حداكثر برسد بايد به مدت زمان معيني جريان برق از آن عبور كند كه اين مدت زمان تابع ثابت زماني سيمپيچ ميباشد. ( ثابت زماني سيمپيچ از تقسيم ضريب خودالقايي سيمپيچ برحسب هانري (H) بر مقاومت مدار برحسب اهم به دست ميآيد و زمان شارژ سيمپيچ 5 برابر ثابت زماني آن ميباشد) در سيستم جرقه زني خودرو نيز جهت مغناطيس كامل شدن سيم پيچ كويل، نياز مي باشد كه اين زمان، توسط زمان روي هم نشستن پلاتينها كنترل گردد. از اينرو زاويه ای از ميل دلكو كه پلاتين ها روي هم مي نشينند و جريان از مدار اوليه عبور ميكند را زاويه داول گويند. اگر زاويه داول كم باشد، سيم پيچ اوليه به اندازه كافي مغناطيس نشده و از اينرو جرقه سرشمع به اندازه كافي نمي باشد كه اين باعث كاهش قدرت موتور و افزايش مصرف سوخت و آلودگي ميگردد. اگر زاويه داول زيادتر از حد مجاز باشد، از سيم پيچ اوليه كويل به مدت زمان زيادتری جريان برق عبور ميكند و اين عامل باعث گرم شدن كويل و كاهش جرقه و در نتيجه كاهش قدرت موتور و افزايش مصرف سوخت و آلودگي مي گردد. از اينرو زاويه داول نقش مهمي در قدرت و مصرف سوخت و آلودگي موتور دارد.خریدوفروش کلرور پالادیوم
زاويه داول در شكل (۶) ملاحظه مي شود. زاويه داول در موتورهاي چهار سيلندر با سيستم جرقه زني پلاتيني بين ۴۸ تا ۵۲ درجه و در موتورهای شش سيلندر بين ۳۶ تا ۴۰ درجه مي باشد.

شكل ۶- زاويه داول يا زاويه بسته بودن پلاتين ها
از رابطه (۴-۱) نيز مي توان مقدار تقريبي زاويه داول را بدست آورد.خریدوفروش کلرور پالادیوم

a : زاویه داول
K : تعداد سیلندر موتور
يكي از مواردی كه در تغيير زاويه داول تأثير دارد، تنظيم دهانة پلاتين مي باشد. با زيادتر شدن فاصله دهانه پلاتين از حد مجاز، زاويه داول كاهش مي يابد در حالي كه با كاهش دهانه پلاتين نسبت به حالت مجاز، زاوية داول افزايش مي يابد. اين موارد در شكل (۷) ملاحظه مي گردد و بيان كننده اين مطلب است كه با تنظيم صحيح پلاتين، زاوية داول نيز به طور صحيح تنظيم مي شود.
بوته پلاتینی | کروزه پلاتینی | فلز پلاتین | فلز پالادیوم | فلز رودیوم
از طرفي ملاحظه مي گردد كه با توجه به افزايش تعداد سيلندرهای موتور، زاويه داول كاهش مي يابد. در موتورهاي با تعداد سيلندر زياد از روش هاي مختلفي مانند دو پلاتينه كردن دلكو، دو پلاتينه كردن به همراه استفاده از دو كويل و …. استفاده مي گردد.خریدوفروش کلرور پالادیوم

a : پلاتين بسته است
b : دهانه پلاتين بيش از حد مجاز باز است، بنابراين زاوية داول كاهش مييابد.
c : دهانة پلاتين كمتر از حد مجاز باز است و بنابراين زاوية داول افزايش مييابد.
شكل ۷- تغيير زاويه داول با تغيير تنظيم دهانه پلاتين
محترق شدن مخلوط سوخت و هواي درون سيلندر به زماني بين ۰۰۲/۰ تا ۰۰۴/۰ ثانيه نياز دارد. از اينرو اگر شمع درست در پايان زمان تراكم و در نقطه مرگ بالا جرقه بزند، هنگامي كه پيستون در حال پائين رفتن است، احتراق سوخت و گاز كامل مي شود. و در اين صورت قدرت توليدی موتور كاهش مي يابد. و به عبارتي ديگر، بهتر است كه جرقه شمع چند درجه قبل از نقطه مرگ بالا ايجاد شود، تا در پايان زمان تراكم احتراق سوخت و گاز به طور كامل انجام شده و با قدرت كافي پيستون را به سمت پائين حركت دهد.خریدوفروش کلرور پالادیوم
با توجه به مطالب فوق بايد از آوانس يا پيش جرقه استفاده نمود. و در حقيقت مقدار درجه ای از گردش ميل لنگ كه جرقه در زمان تراكم و قبل از نقطه مرگ بالا در شمع ايجاد مي شود را آوانس يا پيش جرقه گويند. و اين آوانس بايد با توجه به دور موتور تنظيم گردد به طوري كه با زياد شدن دور موتور، مقدار آوانس جرقه نيز به مقدار مناسب افزايش يابد. (چنانچه جرقه بعد از نقطة مرگ بالا در كورس احتراق، ايجاد شود، اين وضعيت را ريتارد يا پس جرقه گويند)
از اينرو از دو نوع آوانس استفاده مي گردد:خریدوفروش کلرور پالادیوم

اين آوانس يا پيش جرقه با دور موتور تغيير نكرده و در تمامي دورها ثابت مي باشد.
مقدار تقريبي آوانس استاتيكي از رابطة (۵-۱) بدست مي آيد.خریدوفروش کلرور پالادیوم

B : آوانس جرقة استاتیکی
n idle: دور آرام موتور بر حسب دور بر دقیقه
نكته: اين رابطه براي سيستمهاي جرقه زني پلاتيني به طور تقريبي صادق است ولي در سيستم هاي جرقه زني پيشرفته تر به دليل استفاده از دستگاه هاي آوانس متعدد و سيستم هاي كنترل الكترونيكي، مقدار آوانس استاتيكي را بايد از كاتالوگ خودرو مشخص كرد و تقريباً با اين رابطه منافات دارد.خریدوفروش کلرور پالادیوم
آوانس ديناميكي به معناي پيش جرقه اي است كه با دور موتور تغيير مي كند و به عبارتي ديگر با زياد شدن دور، آوانس را زياد كرده و با كاهش دور، مقدار آوانس را كاهش مي دهد. براي اين منظور از دو روش خلائي و وزنه اي استفاده مي گردد كه در زير آمده است.خریدوفروش کلرور پالادیوم
اين نوع آوانس صفحه متحرك دلكو را در جهت خلاف دوران ميل دلكو به اندازه ۰ تا ۲۰ درجه از دوران ميل لنگ مي چرخاند و باعث ميشود كه پلاتين نيز چرخيده و نهايتاً فيبر پلاتين زودتر به بادامك ميل دلكو رسيده و جرقه زودتر ايجاد مي شود. زمان عملكرد آوانس خلائي بين آوانس استاتيكي و آوانس وزنه اي قرار دارد و بيشترين مقدار آن در دورهاي متوسط مي باشد. آوانس خلائي به شتابگيري خودرو كمك مي كند.خریدوفروش کلرور پالادیوم
همان گونه كه در بخش (۸) توضيح داده شد، ميل دلكو را به صورت دو تكه ساخته و دو وزنه و دو فنر قسمت بالا و پائين ميل دلكو را به هم وصل مي كند كه در اينصورت با باز شدن وزنه ها، قسمت بالاي ميل دلكو هم جهت با قسمت پائين آن، دوران بيشتري كرده و بادامك هاي ميل دلكو زودتر به فيبر پلاتين رسيده و پلاتين را باز مي كنند كه با اين عمل جرقه زودتر از موقع ايجاد مي شود. ملاحظه مي شود كه هرچه دور موتور بيشتر باشد، مقدار باز شدن وزنه ها زيادتر و در نتيجه مقدار آوانس وزنه اي افزايش مي يابد و برعكس.
در نتيجه آوانس وزنه اي در دورهاي متوسط به بالا عمل مي كند. شكل (۸) آوانس جرقه وزنه اي را با توجه به دور موتور نشان مي دهد.خریدوفروش کلرور پالادیوم
با توجه به شكل (۸) مشاهده مي شود كه با زياد شدن دور موتور، مقدار آوانس وزنه اي نيز زياد مي شود.

شكل ۸- تغيير آوانس جرقه نسبت به دور موتور هنگامي كه هر دو فنر با هم عمل مي كنند.
گاهي اوقات اين موضوع مناسب نمي باشد و لازم است كه در دورهاي بالا مقدار آوانس خيلي زياد نشود. در اين حالت فنرها را به گونه اي مي سازند كه ابتدا يكي از فنرها وارد عمل شده و هنگامي كه دور زياد شد و وزنه ها از هم باز شدند، فنر بعدي نيز وارد عمل مي شود و از زياد باز شدن فنرها و در نتيجه آوانس زياد جرقه، جلوگيري مي كند. اين موضوع در شكل (۹) ديده مي شود.خریدوفروش کلرور پالادیوم
ملاحظه ميگردد كه در اين حالت، فنر شماره 9 مقداري خلاصي داشته (به اندازه مقدار شماره 10 و همين خلاصي باعث مي شود كه ابتدا فقط فنري كه خلاصي نداشته (فنر شماره 3) باشد، عمل ميكند و سپس كه مقدار خلاصي از بين رفت، فنر شماره 9 نيز وارد عمل مي شود. و در اينصورت مطابق شكل (9) نمودار به صورت دو مرحله اي تبديل مي شود. و نقطة A روي نمودار نشان دهندة زماني است كه فنر دوم نيز وارد عمل مي شود. مقدار آوانس وزنه اي بين 0 تا 30 درجه از دوران ميل لنگ مي باشد.خریدوفروش کلرور پالادیوم

a : آوانس وزنهاي عمل نميكند b: فقط فنر اوليه وارد عمل شده است c : هر دو فنر وارد عمل شدهاند.
۱- تكيه گاه فنر ۲- صفحة متصل به قسمت پائيني ميل دلكو ۳- فنر اوليه ۴- صفحه متصل به قسمت بالايي ميل دلكو ۵- وزنه ۶- بادامك ميل دلكو ۷- لولاي وزنه ها ۸- تكيه گاه ۹- فنر ثانويه ۱۰- مقدار لقي، كه در اين فاصله فقط فنر اوليه عمل ميكند و فنر ثانويه آزاد است ۱۱- محدود كنندة حركت صفحة متصل به قسمت بالايي دلكو ۱۲- جهت دوران ميل دلكو ۱۳- جهت باز شدن وزنه ها
شكل ۹- تغيير آوانس جرقة وزنه اي با استفاده از دو فنر كه در دورهاي مختلف عمل مي كنند.خریدوفروش کلرور پالادیوم
شكل (۱۰) مقدار آوانس وزنه اي و خلائي را بر حسب دوران ميل لنگ نشان مي دهد.
در اين شكل ملاحظه مي شود كه آوانس وزنه ای به صورت خط چين و مورب است. در حالتي كه دريچه گاز كمي باز است، آوانس خلائي مانند منحني بريده بريده عمل نموده و هنگامي كه دريچه گاز بيشتر باز شده و خلاء زيادتري وجود داشته، مقدار آوانس خلائي مانند منحني با خط توپر نشان داده شده است.خریدوفروش کلرور پالادیوم

شكل ۱۰- تغيير آوانس وزنهاي و خلائي بر حسب دور موتورخریدوفروش کلرور پالادیوم